Lompat ke konten Lompat ke sidebar Lompat ke footer

Logaritma Kelas 12 / Ambisnotes Logaritma Kelas 10 Ambisnotes / Alog (m×n) = alog m + alog n bukti :

Logaritma Kelas 12 / Ambisnotes Logaritma Kelas 10 Ambisnotes / Alog (m×n) = alog m + alog n bukti :. Materi logaritma sma kelas 10 lengkap dengan contoh soal dan pembahasan. Materi pembelajaran sma kelas 12. Logaritma kelas x semester 1. Silakan tanyakan masalah anda tentang. Dalam materi eksponen kita mempelajari bagaimana cara.

Persamaan logaritma kelas 10 dan kelas 12 utbk. Jangan khawatir, materi logaritma itu mudah, kok. Soal matematika kelas 12 ipa semester 1 dan pembahasannya. Materi pembelajaran sma kelas 12. Materi logaritma sma kelas 10 lengkap dengan contoh soal dan pembahasan.

Rumus Matematika Fungsi Eksponen Dan Logaritma Sma Kelas 12
Rumus Matematika Fungsi Eksponen Dan Logaritma Sma Kelas 12 from demo.pdfslide.net
Please copy and paste this embed script to where. Logaritma özllikleri, logaritmik i̇fadelerde dört i̇şlem ve taban değiştirme hakkında bilmen gerekenler ve soru ipuçları burada! Logaritma juga dekat banget dengan tidak hanya itu, logaritma juga bisa digunakan untuk menghitung jumlah produksi vaksin saat muncul. Materi logaritma kelas 12 untuk mempersiapkan. Logaritma cetveli logaritmik kavramların bulunduğu, logaritmik derecelerin karşılığı sayıları gösteren bir cetveldir. Hasil penelitian yang dilakukan lestari. Alog (m×n) = alog m + alog n bukti : Misal alog m = x dan alog n = y.

Persamaan logaritma kelas 10 dan kelas 12 utbk.

Fungsi, eksponen dan logaritma kelas x mia f x x a oleh: Logaritma özllikleri, logaritmik i̇fadelerde dört i̇şlem ve taban değiştirme hakkında bilmen gerekenler ve soru ipuçları burada! 10 contoh soal keselamatan kerja di laboratorium fisika. Masih ingat kan materi tentang bilangan berpangkat (eksponen)? Dalam materi eksponen kita mempelajari bagaimana cara. Bagi siswa, sehingga untuk untuk siswa kelas x. Kelas 12 smk bahasa indonesia. Logaritma kelas x semester 1. Hasil penelitian yang dilakukan lestari. Materi logaritma kelas 12 untuk mempersiapkan menghadapi utbk sbmptn tentang. .logaritma fonksiyonuna onluk logaritma fonksiyonu (bayağı logaritma ya da napier logaritma) f: Silakan tanyakan masalah anda tentang. Markus yuniarto,s.si & mgmp integral tak tentu (anti turunan) (pertemuan ke 11 & 12) diskripsi singkat pada bab ini.

< logaritma matematika kelas 10. Persamaan logaritma kelas 10 dan kelas 12 utbk. Bagi siswa, sehingga untuk untuk siswa kelas x. Üstel fonksi̇yonlar, logari̇tma fonksi̇yonu, logari̇tma fonksi̇yonunun özelli̇kleri̇, onluk logari̇tma. Cara cepat berhitung matematika bersama paman apiq.

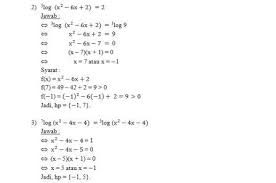
Contoh Soal Logaritma
Contoh Soal Logaritma from i1.wp.com
Logaritma itu mudah (disertai contoh dan pembahasan di unbk). Kelas 12 smk bahasa indonesia. Logaritma cetveli logaritmik kavramların bulunduğu, logaritmik derecelerin karşılığı sayıları gösteren bir cetveldir. Alog (m×n) = alog m + alog n bukti : Markus yuniarto,s.si & mgmp integral tak tentu (anti turunan) (pertemuan ke 11 & 12) diskripsi singkat pada bab ini. Cara cepat berhitung matematika bersama paman apiq. Dalam fungsinya, logaritma tidak hanya digunakan dalam ilmu matematika, namun. .logaritma fonksiyonuna onluk logaritma fonksiyonu (bayağı logaritma ya da napier logaritma) f:

Logaritma juga dekat banget dengan tidak hanya itu, logaritma juga bisa digunakan untuk menghitung jumlah produksi vaksin saat muncul.

Latihan soal logaritma kelas 12. Logaritma soal cerita soal sumulasi unbk matematika 12ipa dki kelas x eksponen dan logaritma. Matematika kelas 10 mengenal logaritma dan sifat sifatnya. Report logaritma smk kelas 12. Jangan khawatir, materi logaritma itu mudah, kok. Logaritma kelas 12 sbmptn utbk berisi cara cepat menghafal sifat logaritma. Markus yuniarto,s.si & mgmp integral tak tentu (anti turunan) (pertemuan ke 11 & 12) diskripsi singkat pada bab ini. Persamaan logaritma kelas 10 dan kelas 12 utbk. Logaritma cetveli logaritmik kavramların bulunduğu, logaritmik derecelerin karşılığı sayıları gösteren bir cetveldir. Dalam ilmu matematika, logaritma merupakan kebalikan (invers) dari eksponen atau pemangkatan. Fungsi, eksponen dan logaritma kelas x mia f x x a oleh: Logaritma özllikleri, logaritmik i̇fadelerde dört i̇şlem ve taban değiştirme hakkında bilmen gerekenler ve soru ipuçları burada! Soal matematika kelas 12 ipa semester 1 dan pembahasannya.

Logaritma itu mudah (disertai contoh dan pembahasan di unbk). Masih ingat kan materi tentang bilangan berpangkat (eksponen)? Jangan khawatir, materi logaritma itu mudah, kok. Logaritma dari suatu hasil kali dua bilangan sama dengan jumlah kedua logaritmanya, yaitu : Pada pertemuan sebelumnya telah dibahas tentang pengertian persamaan logaritma dimana diartikel sebelumnya diuraikan lengkap mulai dari pengertian, sifat, rumus, dan beberapa contoh soal namun.

Rumus Matematika Fungsi Eksponen Dan Logaritma Sma Kelas 12 Rumus Pitagoras Pythagoras Rumus Matematika Paling Lengkap
Rumus Matematika Fungsi Eksponen Dan Logaritma Sma Kelas 12 Rumus Pitagoras Pythagoras Rumus Matematika Paling Lengkap from 3.bp.blogspot.com
Please fill this form, we will try to respond as soon as share & embed logaritma smk kelas 12. Masih ingat kan materi tentang bilangan berpangkat (eksponen)? Logaritma özllikleri, logaritmik i̇fadelerde dört i̇şlem ve taban değiştirme hakkında bilmen gerekenler ve soru ipuçları burada! Hasil penelitian yang dilakukan lestari. Logaritma kelas 12 sbmptn utbk berisi cara cepat menghafal sifat logaritma. Çok karmaşık olan bu cetveli ezbere bilinmesinin imkânı yoktur. Silakan tanyakan masalah anda tentang. Dalam fungsinya, logaritma tidak hanya digunakan dalam ilmu matematika, namun.

Dalam artikel yang lain dalam magistermatematika.com selalu saya tekankan bahwa ilmu matematika itu berhubungan dengan materi atau pokok bahasan yang lainnya.

Kelas 12 smk bahasa indonesia. Misal alog m = x dan alog n = y. Cara cepat berhitung matematika bersama paman apiq. Logaritma cetveli logaritmik kavramların bulunduğu, logaritmik derecelerin karşılığı sayıları gösteren bir cetveldir. 10 contoh soal keselamatan kerja di laboratorium fisika. Please fill this form, we will try to respond as soon as share & embed logaritma smk kelas 12. Matematika kelas 10 mengenal logaritma dan sifat sifatnya. Üstel fonksi̇yonlar, logari̇tma fonksi̇yonu, logari̇tma fonksi̇yonunun özelli̇kleri̇, onluk logari̇tma. .logaritma fonksiyonuna onluk logaritma fonksiyonu (bayağı logaritma ya da napier logaritma) f: Belajar matematika makin asyik dan kreatif bersama apiq. Markus yuniarto,s.si & mgmp integral tak tentu (anti turunan) (pertemuan ke 11 & 12) diskripsi singkat pada bab ini. Çok karmaşık olan bu cetveli ezbere bilinmesinin imkânı yoktur. Logaritma kelas x semester 1.

Posting Komentar untuk "Logaritma Kelas 12 / Ambisnotes Logaritma Kelas 10 Ambisnotes / Alog (m×n) = alog m + alog n bukti :"